Willkommen beim THK-AI Forschungscluster

Der zentrale Ansprechpartner für KI an der TH Köln
Aktuelle Meldungen

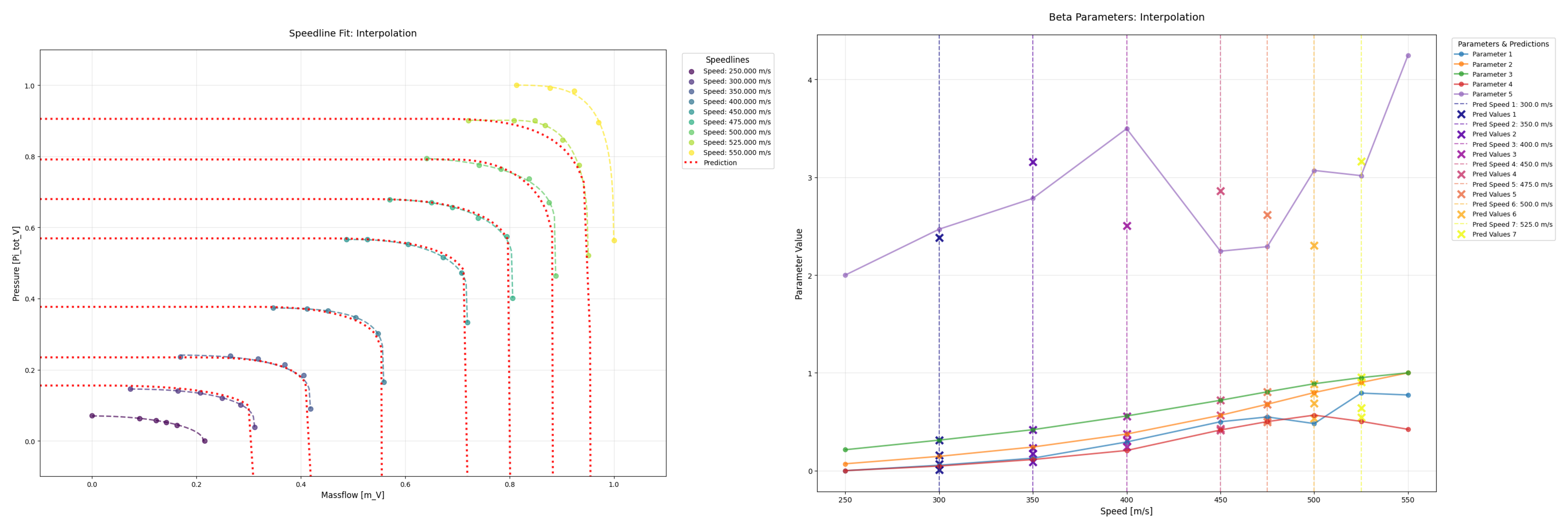
Speedlines in Compressor Performance Maps — Report auf arXiv
16. April 2026 – Aktualisierte Version (v2) des THK-AI Research Report 1/2026: physikbasierte Rekonstruktion von Compressor Performance Maps aus wenigen Messpunkten mittels Superellipsen-Fitting.

AALE Student Award 2026: Marc Schneider ausgezeichnet
16. April 2026 – TH Köln-Absolvent Marc Schneider wurde auf der AALE-Konferenz in Rosenheim als einer von drei Nominierten für den AALE Student Award ausgezeichnet. Seine Masterarbeit am CAISA-Labor integrierte Vision Transformer in YOLOv8 zur Erkennung von Pflanzenkrankheiten.
Mitglieder

Mit mehr als 20 Professorinnen und Professoren der TH Köln ist das THK-AI Forschungscluster eine der größten KI-Forschungskooperationen an einer Hochschule für angewandte Wissenschaften in Deutschland.
Warum THK-AI?
Angewandte KI mit Skalierung
THK-AI verbindet leistungsfähige Recheninfrastruktur mit interdisziplinärer Expertise, um KI von der Idee bis zum einsatzfähigen Prototypen zu bringen.
Offen für Kooperation
Das Cluster unterstützt gemeinsame Projekte zwischen Verbänden, Unternehmen, Professorinnen und Professoren sowie Studierenden aus unterschiedlichen Fachrichtungen.
THK-AI Beispielprojekt

Das Projekt THK-KIplus (TH Köln - Künstliche Intelligenz plus) wurde von Juni 2023 bis November 2025 im Programm KI-Nachwuchs@FH durch das Bundesministerium für Forschung, Technologie und Raumfahrt gefördert. Die Initiative wurde mit rund 1,3 Mio. EUR gefördert und hat eine der leistungsstärksten KI-orientierten Forschungsinfrastrukturen an Hochschulen für angewandte Wissenschaften in Deutschland aufgebaut.
Thematische Schwerpunkte
Kritische Infrastruktur
Robuste KI-Methoden für autonome und sicherheitskritische Systeme.
Sozial-interaktive KI-Agenten
Sozioempathische KI-basierte Dialoge und hybride Avatare für soziale Innovationen.
CAIRNE Gold Member

Das THK-AI Forschungscluster ist Gold Member im CAIRNE Research Network (Confederation of Laboratories for Artificial Intelligence Research in Europe).
CAIRNE ist eine europäische, gemeinnützige AI-Gemeinschaft mit human-centered Fokus. Das Netzwerk vernetzt Forschungseinrichtungen, Industrie und Politik, um europäische KI-Exzellenz, Zusammenarbeit und digitale Souveränität zu stärken.
Mitmachen und vernetzen
Wenn Sie Kooperationen, studentische Projekte oder Partnerschaften in der angewandten KI suchen, ist THK-AI Ihr zentraler Ansprechpartner an der TH Köln.